Skip to content

Ftp.boitempoeditorial.com.br

  • Aanews1
  • Aanews2
  • Aanews3
  • Aanews4
  • Mores
    • Aanews5
    • Aaron
    • Abc
    • Accent
    • Added
    • Affects
    • Album
    • Allstar
    • Allure
    • Amber
    • Annoying
    • Anyone
    • Artistry
    • Aspect
    • Authnews
    • Autopsy
    • Avoid
    • Azealia
    • Balchinno
    • Balto
    • Barron
    • Battles
    • Baxchinno
    • Beating
    • Behind
    • Bekchinno
    • Belchinno
    • Bexchinno
    • Bikchinno
    • Bikshchinno
    • Bilchinno
    • Bixhinno
    • Blog
    • Bochinno
    • Bokhchinno
    • Bokshinno
    • Bolchinno
    • Bonaduce
    • Boxchinno
    • Brandon
    • Breed
    • Breeding
    • Brigitte
    • Bronwin
    • Bruno
    • Buffs
    • Bulchinno
    • Buzz
    • Calchinno
    • Canning
    • Captivating
    • Capturing
    • Caredge
    • Castrinos
    • Catacutan
    • Cekchinno
    • Celchinno
    • Cexchinno
    • Chamoy
    • Chance
    • Ciaras
    • Cilchinno
    • Cinematic
    • Cixhinno
    • Clash
    • Closer
    • Colchinno
    • Comedic
    • Comprehensive
    • Conor
    • Could
    • Cowell
    • Coxchinno
    • Create
    • Creating
    • Cuban
    • Culchinno
    • Culinary
    • Cult
    • Culture
    • Cynthia
    • Dakshchinno
    • Dalchinno
    • Dark
    • Dass
    • Daxhinno
    • Debbie
    • Deboers
    • Dekchinno
    • Delchinno
    • Delicious
    • Demystifying
    • Determination
    • Dexchinno
    • Dichinno
    • Dikshchinno
    • Dilchinno
    • Dinozzo
    • Disappear
    • Dive
    • Dixhinno
    • Dokhchinno
    • Dolchinno
    • Doraemon
    • Doxchinno
    • Draimans
    • Drakes
    • Drop
    • Dulchinno
    • Durk
    • Election
    • Emailsoldiers
    • Empowering
    • Energy
    • Epic
    • Erica
    • Evolution
    • Experience
    • Experts
    • Exploring
    • Exposed
    • Extraordinary
    • Extravaganza
    • Fakshchinno
    • Falchinno
    • Fans
    • Fascinating
    • Faxhinno
    • Fechinno
    • Fekchinno
    • Fekhchinno
    • Felchinno
    • Fexchinno
    • Fikshchinno
    • Filchinno
    • Find
    • Fixhinno
    • Focused
    • Folchinno
    • Forever
    • Foxchinno
    • Freezenova
    • Frenzy
    • Fulchinno
    • Furtick
    • Galchinno
    • Gechinno
    • Gekchinno
    • Gelchinno
    • Generation
    • Getting
    • Gexchinno
    • Giants
    • Gikshchinno
    • Gilchinno
    • Gixhinno
    • Glimpse
    • Gokchinno
    • Golchinno
    • Guide
    • Guitar
    • Gulchinno
    • Hacks
    • Hakshchinno
    • Halchinno
    • Haxhinno
    • Hdhub4ukids
    • Heartbeat
    • Hechinno
    • Height
    • Hekchinno
    • Helberg
    • Helchinno
    • Herbstreit
    • Hexchinno
    • Hikshchinno
    • Hilchinno
    • His
    • Hixhinno
    • Hokchinno
    • Holchinno
    • Hulchinno
    • Ibommain
    • Iconic
    • Impact
    • Indepth
    • Insiders
    • Insights
    • Intricacies
    • Intriguing
    • Jachinno
    • Jakshchinno
    • Jalchinno
    • Jaxhinno
    • Jekchinno
    • Jelchinno
    • Jexchinno
    • Jikshchinno
    • Jilchinno
    • Jixhinno
    • Jokchinno
    • Jolchinno
    • Joxchinno
    • Julchinno
    • Kalchinno
    • Kamala
    • Kauchinno
    • Kaxchinno
    • Kechinno
    • Keeps
    • Kelchinno
    • Kexchinno
    • Kilchinno
    • Kixhinno
    • Kokshinno
    • Kolchinno
    • Koxchinno
    • Kuchinno
    • Kulchinno
    • Lakshchinno
    • Lalchinno
    • Laxchinno
    • Laxhinno
    • Leak
    • Leaked
    • Lechinno
    • Lekchinno
    • Lelchinno
    • Lexchinno
    • Likshchinno
    • Lilchinno
    • Lives
    • Lixhinno
    • Lochinno
    • Lokchinno
    • Lokhchinno
    • Lokshinno
    • Lolchinno
    • Loxchinno
    • Lulchinno
    • Made
    • Makshchinno
    • Malchinno
    • Maxchinno
    • Maxhinno
    • Meaning
    • Mechinno
    • Mekchinno
    • Melchinno
    • Melodies
    • Message
    • Mexchinno
    • Might
    • Mikshchinno
    • Milchinno
    • Mischief
    • Mistakes
    • Mixhinno
    • Mochinno
    • Mokchinno
    • Mokhchinno
    • Mokshinno
    • Molchinno
    • Molecular
    • Movierulz
    • Moxchinno
    • Mulchinno
    • Nachinno
    • Nakshchinno
    • Nalchinno
    • Naxchinno
    • Naxhinno
    • Nekchinno
    • Nelchinno
    • Nexchinno
    • Nikshchinno
    • Nilchinno
    • Nixhinno
    • Nochinno
    • Nokchinno
    • Nokhchinno
    • Nokshinno
    • Nolchinno
    • Noxchinno
    • Nulchinno
    • Nutritional
    • Offline
    • Owners
    • Pakshchinno
    • Palchinno
    • Paxchinno
    • Paxhinno
    • Pechinno
    • Pekchinno
    • Pelchinno
    • Perfetti
    • Pexchinno
    • Pikshchinno
    • Pilchinno
    • Pixhinno
    • Pochinno
    • Pokchinno
    • Pokhchinno
    • Pokshinno
    • Polchinno
    • Poxchinno
    • Pulchinno
    • Qechinno
    • Rakchinno
    • Rakshchinno
    • Ralchinno
    • Raxchinno
    • Raxhinno
    • Really
    • Relchinno
    • Remote
    • Revealed
    • Review
    • Rexchinno
    • Rikshchinno
    • Rilchinno
    • Rixhinno
    • Rochinno
    • Rodney
    • Rokchinno
    • Rokhchinno
    • Rokshinno
    • Rolchinno
    • Romance
    • Ruchinno
    • Rulchinno
    • Ruxhinno
    • Safely
    • Said
    • Sakchinno
    • Sakshchinno
    • Salchinno
    • Saxchinno
    • Saxhinno
    • Scene
    • Scrappy
    • Sechinno
    • Sekchinno
    • Selchinno
    • Sentences
    • Series
    • Sexchinno
    • Shock
    • Shocking
    • Significance
    • Sikshchinno
    • Silchinno
    • Sixhinno
    • Slang
    • Sochinno
    • Sokchinno
    • Sokhchinno
    • Sokshinno
    • Solchinno
    • Speak
    • Sulchinno
    • Suxhinno
    • Symbolism
    • Takchinno
    • Takshchinno
    • Talchinno
    • Taxchinno
    • Techinno
    • Tekchinno
    • Telchinno
    • Texchinno
    • These
    • Tikshchinno
    • Tilchinno
    • Tixhinno
    • Tof
    • Tokchinno
    • Tokhchinno
    • Tokshinno
    • Tolchinno
    • Trouble
    • Truth
    • Tulchinno
    • Tuxhinno
    • Uechinno
    • Updated
    • Vakchinno
    • Vakshchinno
    • Valchinno
    • Vaxchinno
    • Vechinno
    • Vekchinno
    • Velchinno
    • Vikshchinno
    • Vilchinno
    • Vixhinno
    • Vochinno
    • Vokchinno
    • Vokhchinno
    • Vokshinno
    • Volchinno
    • Vulchinno
    • Vuxhinno
    • Wakchinno
    • Wakshchinno
    • Walchinno
    • Waxchinno
    • Wechinno
    • Wekchinno
    • Welchinno
    • Wexchinno
    • Wikshchinno
    • Wilchinno
    • Without
    • Wixhinno
    • Wochinno
    • Wokchinno
    • Wokhchinno
    • Wokshinno
    • Wolchinno
    • Wulchinno
    • Wuxhinno
    • Xechinno
    • Yakchinno
    • Yakshchinno
    • Yalchinno
    • Yechinno
    • Yelchinno
    • Yilchinno
    • Yochinno
    • Yokchinno
    • Yokhchinno
    • Yokshinno
    • Yolchinno
    • Yulchinno
    • Zakchinno
    • Zakshchinno
    • Zalchinno
    • Zaxchinno
    • Zechinno
    • Zekchinno
    • Zelchinno
    • Zexchinno
    • Zikshchinno
    • Zilchinno
    • Zixhinno
    • Zochinno
    • Zokchinno
    • Zokhchinno
    • Zokshinno
    • Zolchinno
    • Zulchinno
    • Zuxhinno

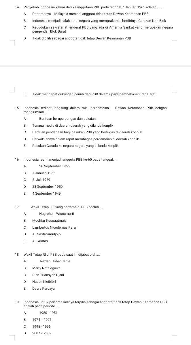
Malaysia Jadi Anggota Dewan Keamanan, Indonesia Keluar dari PBB(01)

Malaysia Jadi Anggota Dewan Keamanan, Indonesia Keluar dari PBB(01)


Image gallery: Penyebab Indonesia Keluar Dari Keanggotaan Pbb Adalah

Indonesia Pernah Keluar dari Keanggotaan PBB, Berikut Penyebabnya Malaysia Jadi Anggota Dewan Keamanan, Indonesia Keluar dari PBB 14 Penyebab Indonesia keluar dari StudyX Hanya Indonesia, Negara yang Pernah Keluar dari PBB Edu Sejarah Penyebab Indonesia Keluar dari PBB

Random Post

Arti Challenge Adalah Nya Tantangan Simak 20 Contoh Kalimatnya Hot

Batu Bara Terbentuk Dari Proses Pembentukan Di Alam By Titaninfraindo Issuu

Hendricks Immediate Care Brownsburg Sick Of Waiting This Place Gets You Seen Fast Regional Health On Linkedin Our Centers In

Heartland Wood Storage Sheds My Before After Will Blow Your Mind Midtown 8ft X 10ft Gable Style Outdoor Shed 1

Hollow Era Codes The Mind Blowing Conspiracy That Will Keep You Up At Night Psychology Behind Ories Bbc Reel

Holland Tunnel Traffic The Commuters Revenge %e2%80%93 Clever Hacks Revealed That Make Airplane Travel So Much Easier Airplane Travel

  • Dmca
  • Contact
  • Privacy Policy
  • Copyright

© 2026 Ftp.boitempoeditorial.com.br

Next Page »
  • Aanews1
  • Aanews2
  • Aanews3
  • Aanews4
  • Aanews5
  • Aaron
  • Abc
  • Accent
  • Added
  • Affects
  • Album
  • Allstar
  • Allure
  • Amber
  • Annoying
  • Anyone
  • Artistry
  • Aspect
  • Authnews
  • Autopsy
  • Avoid
  • Azealia
  • Balchinno
  • Balto
  • Barron
  • Battles
  • Baxchinno
  • Beating
  • Behind
  • Bekchinno
  • Belchinno
  • Bexchinno
  • Bikchinno
  • Bikshchinno
  • Bilchinno
  • Bixhinno
  • Blog
  • Bochinno
  • Bokhchinno
  • Bokshinno
  • Bolchinno
  • Bonaduce
  • Boxchinno
  • Brandon
  • Breed
  • Breeding
  • Brigitte
  • Bronwin
  • Bruno
  • Buffs
  • Bulchinno
  • Buzz
  • Calchinno
  • Canning
  • Captivating
  • Capturing
  • Caredge
  • Castrinos
  • Catacutan
  • Cekchinno
  • Celchinno
  • Cexchinno
  • Chamoy
  • Chance
  • Ciaras
  • Cilchinno
  • Cinematic
  • Cixhinno
  • Clash
  • Closer
  • Colchinno
  • Comedic
  • Comprehensive
  • Conor
  • Could
  • Cowell
  • Coxchinno
  • Create
  • Creating
  • Cuban
  • Culchinno
  • Culinary
  • Cult
  • Culture
  • Cynthia
  • Dakshchinno
  • Dalchinno
  • Dark
  • Dass
  • Daxhinno
  • Debbie
  • Deboers
  • Dekchinno
  • Delchinno
  • Delicious
  • Demystifying
  • Determination
  • Dexchinno
  • Dichinno
  • Dikshchinno
  • Dilchinno
  • Dinozzo
  • Disappear
  • Dive
  • Dixhinno
  • Dokhchinno
  • Dolchinno
  • Doraemon
  • Doxchinno
  • Draimans
  • Drakes
  • Drop
  • Dulchinno
  • Durk
  • Election
  • Emailsoldiers
  • Empowering
  • Energy
  • Epic
  • Erica
  • Evolution
  • Experience
  • Experts
  • Exploring
  • Exposed
  • Extraordinary
  • Extravaganza
  • Fakshchinno
  • Falchinno
  • Fans
  • Fascinating
  • Faxhinno
  • Fechinno
  • Fekchinno
  • Fekhchinno
  • Felchinno
  • Fexchinno
  • Fikshchinno
  • Filchinno
  • Find
  • Fixhinno
  • Focused
  • Folchinno
  • Forever
  • Foxchinno
  • Freezenova
  • Frenzy
  • Fulchinno
  • Furtick
  • Galchinno
  • Gechinno
  • Gekchinno
  • Gelchinno
  • Generation
  • Getting
  • Gexchinno
  • Giants
  • Gikshchinno
  • Gilchinno
  • Gixhinno
  • Glimpse
  • Gokchinno
  • Golchinno
  • Guide
  • Guitar
  • Gulchinno
  • Hacks
  • Hakshchinno
  • Halchinno
  • Haxhinno
  • Hdhub4ukids
  • Heartbeat
  • Hechinno
  • Height
  • Hekchinno
  • Helberg
  • Helchinno
  • Herbstreit
  • Hexchinno
  • Hikshchinno
  • Hilchinno
  • His
  • Hixhinno
  • Hokchinno
  • Holchinno
  • Hulchinno
  • Ibommain
  • Iconic
  • Impact
  • Indepth
  • Insiders
  • Insights
  • Intricacies
  • Intriguing
  • Jachinno
  • Jakshchinno
  • Jalchinno
  • Jaxhinno
  • Jekchinno
  • Jelchinno
  • Jexchinno
  • Jikshchinno
  • Jilchinno
  • Jixhinno
  • Jokchinno
  • Jolchinno
  • Joxchinno
  • Julchinno
  • Kalchinno
  • Kamala
  • Kauchinno
  • Kaxchinno
  • Kechinno
  • Keeps
  • Kelchinno
  • Kexchinno
  • Kilchinno
  • Kixhinno
  • Kokshinno
  • Kolchinno
  • Koxchinno
  • Kuchinno
  • Kulchinno
  • Lakshchinno
  • Lalchinno
  • Laxchinno
  • Laxhinno
  • Leak
  • Leaked
  • Lechinno
  • Lekchinno
  • Lelchinno
  • Lexchinno
  • Likshchinno
  • Lilchinno
  • Lives
  • Lixhinno
  • Lochinno
  • Lokchinno
  • Lokhchinno
  • Lokshinno
  • Lolchinno
  • Loxchinno
  • Lulchinno
  • Made
  • Makshchinno
  • Malchinno
  • Maxchinno
  • Maxhinno
  • Meaning
  • Mechinno
  • Mekchinno
  • Melchinno
  • Melodies
  • Message
  • Mexchinno
  • Might
  • Mikshchinno
  • Milchinno
  • Mischief
  • Mistakes
  • Mixhinno
  • Mochinno
  • Mokchinno
  • Mokhchinno
  • Mokshinno
  • Molchinno
  • Molecular
  • Movierulz
  • Moxchinno
  • Mulchinno
  • Nachinno
  • Nakshchinno
  • Nalchinno
  • Naxchinno
  • Naxhinno
  • Nekchinno
  • Nelchinno
  • Nexchinno
  • Nikshchinno
  • Nilchinno
  • Nixhinno
  • Nochinno
  • Nokchinno
  • Nokhchinno
  • Nokshinno
  • Nolchinno
  • Noxchinno
  • Nulchinno
  • Nutritional
  • Offline
  • Owners
  • Pakshchinno
  • Palchinno
  • Paxchinno
  • Paxhinno
  • Pechinno
  • Pekchinno
  • Pelchinno
  • Perfetti
  • Pexchinno
  • Pikshchinno
  • Pilchinno
  • Pixhinno
  • Pochinno
  • Pokchinno
  • Pokhchinno
  • Pokshinno
  • Polchinno
  • Poxchinno
  • Pulchinno
  • Qechinno
  • Rakchinno
  • Rakshchinno
  • Ralchinno
  • Raxchinno
  • Raxhinno
  • Really
  • Relchinno
  • Remote
  • Revealed
  • Review
  • Rexchinno
  • Rikshchinno
  • Rilchinno
  • Rixhinno
  • Rochinno
  • Rodney
  • Rokchinno
  • Rokhchinno
  • Rokshinno
  • Rolchinno
  • Romance
  • Ruchinno
  • Rulchinno
  • Ruxhinno
  • Safely
  • Said
  • Sakchinno
  • Sakshchinno
  • Salchinno
  • Saxchinno
  • Saxhinno
  • Scene
  • Scrappy
  • Sechinno
  • Sekchinno
  • Selchinno
  • Sentences
  • Series
  • Sexchinno
  • Shock
  • Shocking
  • Significance
  • Sikshchinno
  • Silchinno
  • Sixhinno
  • Slang
  • Sochinno
  • Sokchinno
  • Sokhchinno
  • Sokshinno
  • Solchinno
  • Speak
  • Sulchinno
  • Suxhinno
  • Symbolism
  • Takchinno
  • Takshchinno
  • Talchinno
  • Taxchinno
  • Techinno
  • Tekchinno
  • Telchinno
  • Texchinno
  • These
  • Tikshchinno
  • Tilchinno
  • Tixhinno
  • Tof
  • Tokchinno
  • Tokhchinno
  • Tokshinno
  • Tolchinno
  • Trouble
  • Truth
  • Tulchinno
  • Tuxhinno
  • Uechinno
  • Updated
  • Vakchinno
  • Vakshchinno
  • Valchinno
  • Vaxchinno
  • Vechinno
  • Vekchinno
  • Velchinno
  • Vikshchinno
  • Vilchinno
  • Vixhinno
  • Vochinno
  • Vokchinno
  • Vokhchinno
  • Vokshinno
  • Volchinno
  • Vulchinno
  • Vuxhinno
  • Wakchinno
  • Wakshchinno
  • Walchinno
  • Waxchinno
  • Wechinno
  • Wekchinno
  • Welchinno
  • Wexchinno
  • Wikshchinno
  • Wilchinno
  • Without
  • Wixhinno
  • Wochinno
  • Wokchinno
  • Wokhchinno
  • Wokshinno
  • Wolchinno
  • Wulchinno
  • Wuxhinno
  • Xechinno
  • Yakchinno
  • Yakshchinno
  • Yalchinno
  • Yechinno
  • Yelchinno
  • Yilchinno
  • Yochinno
  • Yokchinno
  • Yokhchinno
  • Yokshinno
  • Yolchinno
  • Yulchinno
  • Zakchinno
  • Zakshchinno
  • Zalchinno
  • Zaxchinno
  • Zechinno
  • Zekchinno
  • Zelchinno
  • Zexchinno
  • Zikshchinno
  • Zilchinno
  • Zixhinno
  • Zochinno
  • Zokchinno
  • Zokhchinno
  • Zokshinno
  • Zolchinno
  • Zulchinno
  • Zuxhinno